• Products
  • Solutions
  • Support
  • Contact
  • Order OnlineOrder Online

What is a Three-Phase Power System

A three-phase power system distributes three alternating currents (AC) simultaneously along a three-wire conductor to a load. The wires are configured so each current phase is offset by 120 degrees. This allows power to be delivered more efficiently than a single-phase power system while requiring less construction material, reducing cost and energy loss.

To understand what a three-phase power system is, we must first discuss a single-phase system and how it relates to the concept of a phase.


What is a Single-Phase Power System

A single-phase alternating current is induced by a coil positioned between a pair of permanent magnets. When the coil rotates, the magnetic field moves relative to that coil. Faraday’s law tells us that a changing magnetic field creates an electromotive force, which generates a current.

Single-Phase Power System

When the coil moves from 0 to 180 degrees and then comes back to 0 degrees, this generates a single alternating current in the coil with a sinusoidal waveform, as shown in the diagram.

Single-Phase Diagram

As the coil rotates, the induced current starts from 0 and moves to its peak, then drops to its negative peak and finally returns to 0. This is referred to as a full cycle, which takes 360 degrees to complete. Most of the household appliances operate on single-phase power, including lights, refrigerators, and televisions. Single-phase power delivers consistent voltage and is easy to distribute, making it ideal for home and small-scale loads.

A second generator can be added with a current of equal magnitude and frequency, but with a 120-degree phase shift relative to the first, as shown in the following plot.

Two-Phase Diagram

Introducing the Three-Phase Power System

A three-phase power system works similarly to single-phase, except it consists of three alternating currents that are phase-shifted by 120 degrees.

Three-Phase Diagram

This system consists of a three-phase generator, several three-phase transformers along the transmission line, and a final step-down transformer that drops the voltage to the appropriate level based on the specific application.

The final output can power large motors, commercial facilities, and data centers, or it can be split into single-phase power for household use, as shown in the diagram below.

Electric Power Distribution

How to Generate Three-Phase Power

Three-phase generators are the key components in a three-phase power system, as illustrated in the following diagrams:

Generate Three-Phase Power

As opposed to a single-phase generator, a three-phase generator features a rotating magnet, the rotor, which is surrounded by three separate wires located on the stator. The three wires correspond to the three phases. The wires are precisely positioned to generate current at exactly 120 degrees out of phase to each other.

The speed at which the rotor rotates is synchronized with the frequency of the power system, which is either 50Hz or 60Hz in North America, Europe, Australia, and most other countries. When generators operate in sync with the grid it is referred to as a synchronous generator.


Two Connection Methods for Three-Phase Power

Inside a generator, the three phases can be wired differently as either a wye or delta configuration.

Wye Connection
Wye Connection

In a wye (Y) connected system, the three phases are connected to a common junction point, and an optional neutral wire can be connected at that junction.

The neutral wire is optional, but it does help prevent potential problems if an element fails and the system becomes unbalanced. The neutral wire also enables the load to be connected from line to neutral, effectively using the system as three single-phases, making it more suitable for residential or commercial buildings.

When the load is connected between line to neutral, the voltage across the load is called line-to-neutral voltage:

Line-to-neutral voltage

Since the neutral is 0V, the line-to-neutral voltage equals phase voltage:

Line-to-neutral voltage equals phase voltage

The current flows from the source, passes through the load, and flows back to the neutral, so line current equals phase current.

Line current equals phase current

In this case, the power delivered to the load is single-phase, which can be calculated as:

Line-to-neutral Power delivered

Where PF stands for power factor, which is the ratio between real and apparent power, whereas real power is the power consumed by the load, and apparent power is the power generated by the source, including real and reactive power.

When the load is connected between two lines, the voltage across the load is called line-to-line voltage (VLL), as shown in the diagram below:

Line-to-line voltage

The relation between VLL and phase voltage (VP) can be expressed as:

Relation between V_LL and phase voltage

The current can then be calculated according to Ohm’s law:

Ohm's law

Finally, the power delivered to the load is:

Line-to-line Power Delivered
Delta Connection
Delta Connection

For a delta-connected system, the power sources are connected to each other on both ends, forming a triangle. There is no neutral in a delta connection. The current flows from one phase and returns from the other two phases.

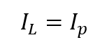
When the load is connected from line to line, the voltage across equals phase voltage.

The voltage across equals phase voltage

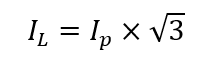
The line current, on the other hand, is √3 times the phase current.

Line current

Finally, the power is calculated as

Delta Connection Power Delivered

Notice that both connection methods, wye and delta, deliver the same amount of power to the load.


Three-Phase Power Transmission and Distribution

Once power is generated, there are a few challenges that must be solved before it is transmitted and distributed.

Transmission systems incur a power loss while traveling over cables. Power stations equipped with transformers step up the voltage to a suitable level to mitigate loss from transmission. This is because power loss is directly proportional to the square of current.

Power Loss

When increasing the voltage and lowering the current, the power loss during transmission will be minimized.

Another factor is that due to the impedance of the transmission lines, the voltage naturally drops across long distances. As a result, transformers must be installed along the transmission lines in order to maintain and stabilize the voltage at the appropriate level.

Lastly, before the power is delivered to the end user, whether it is large industrial motors, commercial facilities, or residential households, a final transformer must be installed to lower the voltage.

Similar to generators, these transformers are also three-phase, which have a structure shown in the following diagrams .

Three-phase Transformer Core

This can complicate the power system because the primary and secondary sides of the transformer can have different wiring configurations.

Delta-Wye Transformer

Delta-Wye Transformer

The delta-wye configuration is usually used by transformers installed at the power station to step up the voltage before the power gets transmitted, as shown in the diagram below:

Delta-Wye Transformer - Electric Power Distribution

The delta connection on the primary side can handle the high current output from generators, while the wye connection allows for higher voltage on the secondary side.

This is due to the delta connection not requiring a neutral, and the current flows back through the other two phases. And because the three currents are out of phase to each other by 120 degrees, the net current in each line is zero.

For the wye connection on the secondary side, the line-to-line voltage is higher than the line-to-neutral voltage by a factor of √3, allowing it to deliver a higher voltage compared to the delta side.

Wye-Wye Transformer

Wye-Wye Transformer

The wye-wye configuration is often used for high-voltage, low-current systems, such as those along the transmission lines to maintain the voltage.

Wye-Wye Transformer - Electric Power Distribution

The main advantage of this configuration is the neutral terminal on both sides, which enables grounding on both sides to improve safety and removes possible distortion from the waveform.

Wye-Delta Transformer

Wye-Delta Transformer

The wye-delta configuration is the opposite of the delta-wye transformer. It is typically used for step-down transformers, often installed before the power is delivered to the end user.

Wye-Delta Transformer - Electric Power Distribution

Delta-Delta Transformer

Wye-Wye Transformer

The delta-delta configuration is commonly used for low-voltage high-current systems, such as motors and large machinery, where high-current is required to provide a large initial torque.


Unbalanced Three-Phase Power Systems

Thus far, each scenario has assumed three phases do not encounter any issues, but a condition can arise when a power failure occurs, and the system becomes unbalanced.

Wye-Wye System

For example, for a wye-connected system, when a phase fails, the corresponding line-to-neutral voltage drops to 0V. If a neutral is connected, the other two phases will not be affected, and the system operates as a two-phase system.

Wye-Wye System

This is because the remaining power sources are connected in parallel, and the voltage on the remaining two loads will stay balanced with respect to the neutral.

However, if a neutral wire is not connected, the voltage delivered to the loads will drop.

Wye-Wye System - Neutral Wire Not Connected

In this case, the two power sources will be connected in series, and the net voltage delivered to the loads will be the vector sum of the voltages of the remaining two phases. The exact reduction in voltage depends on the phase angle and the configuration of the system.

For the example above, the vector sum of 120V ∠0° and -120V ∠120° gives 208V ∠-30°. This can be verified using the vector calculator below:

Vector Calculator
°
°

Wye-Delta System

If the wye-connected source is paired with a delta-connected load, when a power source fails, the remaining two power sources will be connected in series. As a result, the net voltage delivered to the loads will be 208V. One of the loads receives the full voltage, while the other two loads, being connected in series, will share the remaining voltage. This causes the voltage to divide between them, as illustrated in the diagram below.

Wye-Delta System

Delta-Delta System

For delta-connected power sources with delta-connected loads, the circuit will be rebalanced, and the voltage for all three loads remains unchanged, allowing the loads to operate normally.

Delta-Delta System

Notice that R1 receives the voltage delivered by V1, and R2 receives the voltage delivered by V2.

R3, on the other hand, is connected from the negative end of V2 to the positive end of V1, which means its voltage is the vector sum of V1 and V2, which is 120V ∠60° in this case.

Vector Calculator
°
°

Delta-Wye System

If a delta-connected source is paired with a wye-connected load, the circuit will also be rebalanced automatically, and the voltage for all three loads remains unchanged, allowing the loads to operate normally.

Delta-Wye System

Notice when the power source has a delta configuration, the system will rebalance on its own in case of a power failure. However, that is not to say power failures do not affect delta-connected systems. Since the three phases no longer have 120-degree phase shift, the currents no longer cancel out each other, which means the remaining phases will carry higher current and may lead to overheating if the issue is not resolved in time.

Also because of the power failure, the total power delivered to the load will also be reduced. The reduced power can be calculated with the following equation:

Reduced Power

In practice, interruptions in electrical systems can be caused by many factors, such as loose or corroded connections, damaged wirings, vibrations and mechanical stress, aging materials, as well as other human errors or environmental factors. Therefore, it is important to monitor the power system to ensure consistent and high-quality power delivery.

Accuenergy offers two power and energy meters, Acuvim II and Acuvim 3, capable of comprehensive energy monitoring and power quality analysis. These meters are designed to accurately measure and analyze parameters such as voltage, current, power, energy consumption, as well as power quality events such as voltage sags/dip, voltage swell, transients, harmonic distortion, and other key power metrics.


Real-World Applications of Three-Phase Power Systems

Three-phase power systems have a wide range of real-world applications across many different sectors.

Its efficiency and reliability make three-phase systems the perfect choice for power generation and transmission. As demonstrated above, three-phase systems generate more power while requiring less construction material. It will reduce power loss during transmission compared to single-phase systems. Additionally, three-phase systems are more resilient against power failures, which reduces the likelihood of outages.

Three-phase systems are ideal for applications where the ability to deliver large amounts of power consistently is required. Such applications include heavy machinery in industrial and manufacturing, lighting systems in commercial facilities, server racks and cooling systems in data centers, elevators and escalators, public transportation systems, and more.

Besides the traditional three-phase applications, in recent years, with the booming of the EV industry, fast-changing has become increasingly more important. It works by supplying DC power directly to the battery, bypassing the onboard AC to DC conversion, and allowing for much faster power delivery.

Three-phase power systems play a vital role in modern infrastructure, offering significant advantages over single-phase systems in terms of efficiency, reliability, as well as overall performance.

Acuvim II Series
Acuvim II Series Advanced Power & Energy Meter

With built-in DNP 3.0 support and advanced, revenue grade energy and power measurements, the Acuvim II is ready for deployment in electric utility and other SCADA applications. Depend on seamless interoperability and proven energy data transmission in critical environments.

Acuvim 3
Acuvim 3 Advanced Power Quality Meter

The Acuvim 3 Series is a power quality meter with revenue-grade energy metering capabilities. It offers PQ analysis by capturing waveform, harmonics, frequency, transients, voltage, and current at high precision. Measurements are sampled at high-speed data rates, with a 32 GB data log storage capacity, event trigger detection, and power quality reports generation.